欢迎光临~阻燃面料生产厂家
语言选择: 中文版 ∷  英文版

公司新闻

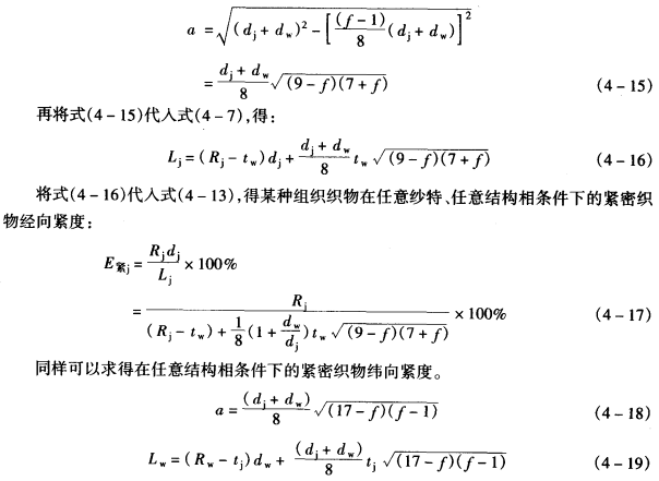
不同组织任意结构相织物的紧度与紧密率

  现在研究不同组织在任意结构相条件下的紧密率。
  将式(4—1)代入式(4—9)中可得:
  可见,这种织物为经向紧密组织,而且纺纱线之间发生较多的挤压变形。
  比较例1和例4还可以看出,即使是相同的经纬纺纱线密度、相同组织的织物,当结构相不同时,其紧密织物的紧度(经向和纬向)是不相同的,即织物的可密性是不同的。
AAAERT5Y4375JTY


版权声明

本站发布的有些文章部分内容来源于互联网。如有侵权,请联系我们,我们会尽快删除。

联系我们

CONTACT US

联系人:杨小姐

手机:13912652341

电话:0512-5523 0820

邮箱:377830286@qq.com

地址: 江苏省昆山市新南中路567号A2217