欢迎光临~阻燃面料生产厂家
语言选择: 中文版 ∷  英文版

公司新闻

织物中经纬纱的屈曲波高

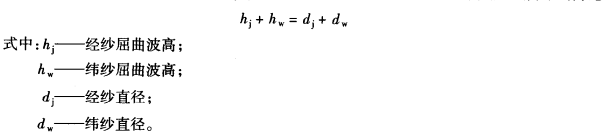
  经、纬纱在织物中相互屈曲,其屈曲的程度可以用屈曲波高来描述。经、纬纱在织物中屈曲状态如同波纹一样,假设以纱的中心线为代表,我们可以得到一条波纹状曲线。这条波纹曲线的波峰到波谷之间的高度差称为屈曲波高。如图4—4所示,hj,为经纱屈曲波高,hw为纬纱屈曲波高。
  由于经、纬纱在织物中是相互紧密连接的,因此,一个方向的纺纱线如果伸直一些,另一个方向的纺纱线就必定要多屈曲一些。换言之,一个方向纺纱线屈曲波高减小一些,另一个方向纺纱线的屈曲波高就要增大一些。可见,经、纬纱屈曲波高之间是相互关联的。再进一步说,如果一个方向的纺纱线完全伸直,另一个方向的纺纱线就会达到大的屈曲波高。图4—5(a)所示为经纱呈完全伸直状态,而纬纱具有大的屈曲;图4—5(c)所示为纬纱呈完全伸直状态,而经纱具有大的屈曲。这两种结构状态为织物中经、纬纱相互配置关系的极端状态,在实际织物中是不存在的。实际上各种织物的几何结构必定处于达两种极端状态之间,如图4—5(b)所示。
  根据经纬纱屈曲波高之间的这种变化关系,经研究,得到一条重要规律:织物中经、纬纱屈曲波高之和始终保持为一常数,且恒等于经、纬纱直径之和。这是织物几何结构中的一项重要性质,即
AAAVSGREHTRY45


版权声明

本站发布的有些文章部分内容来源于互联网。如有侵权,请联系我们,我们会尽快删除。

联系我们

CONTACT US

联系人:杨小姐

手机:13912652341

电话:0512-5523 0820

邮箱:377830286@qq.com

地址: 江苏省昆山市新南中路567号A2217